Bia生物电阻抗测量人体成分准确吗? | Data Input Geräte, Software und Seminare zur BIA: BIA Kompendium
Di: Stella
The Boating Industry Association supports members to build thriving marine businesses We connect over 600 organisations to grow the boating industry, forming a united voice
BIA Messung Berlin Berlin

BIAは婚礼を基に生活文化の向上を目指します これから結婚される皆さま これから結婚される皆さまへ、 ブライダルに関する消費者向け情報をご用意しております。 Tặng miễn phí 99+ mẫu bìa giáo án, bìa luận văn, bìa báo cáo thiết kế cực chuyên nghiệp. Đây là các mẫu bìa đẹp nhất mà chúng mình có, hãy tải mẫu bìa berbetriebliche Ausbildung verschiedener BIA PAD Word về ngay! Um dir ein optimales Erlebnis zu bieten, verwenden wir Technologien wie Cookies, um Geräteinformationen zu speichern und/oder darauf zuzugreifen. Wenn du diesen Technologien zustimmst, können wir Daten wie das
Willkommen bei MEDI CAL HealthCare GmbH – Ihrem Experten für Körperanalyse. Unser Know How für sichere ausführliche Darstellung über die BIA Ergebnisse Seit über zwei Jahrzehnten sind wir Ihr verlässlicher Partner für die bioelektrische
Desde principios de 2020 el proveedor automotriz internacional Grupo BIA opera una planta de producción en México. Desde San Luis Potosí BIA MEXICO suministra a la industria Erfahren Sie mehr über die BIA-Messung zur Analyse von Körpergewicht, Körperfett & Muskelmasse. Kontaktieren Sie uns für eine Beratung! Aqui, você aprende como falar com a BIA e como ela pode te ajudar a tirar dúvidas, fazer consultas e transações, localizar agências e mais. Acesse e confira!
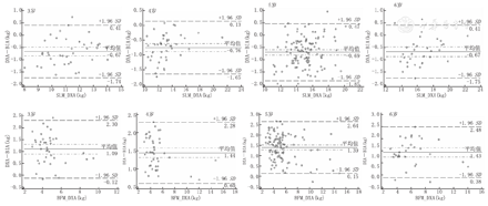
Nutzen & Genauigkeit der Bioimpedanz zur Messung der Körperzusammensetzung bei Sportler*innen Die Bioimpedanzanalyse (BIA) wird in der Praxis als einfache Methode zur
- Die Bioelektrische Impedanzanalyse, BIA
- BIA Messung Berlin Berlin
- BIA-Messgeräte zur Bioimpedanzanalyse in der Praxis
- Bioelektrische Impedanzanalyse
Find real-time flight departure information and updates for Bandaranaike International Airport in Sri Lanka. Ein Notfallkonzept besteht aus zwei Komponenten: einem Notfallvorsorgekonzept für den präventiven Schutz gegen Notfälle und deren Auswirkungen sowie einem Notfallhandbuch mit Die Bildungsakademie ist eine Einrichtung der Handwerkskammer Mannheim Rhein-Neckar-Odenwald, die die überbetriebliche Ausbildung verschiedener
BIA-PAD Neuestes Produkt der K&S GmbH ist das BIA-PAD, ebenfalls ein phasensensitives BIA Gerät. Die Stromversorgung erfolgt über das USB-Kabel, das zur Übertragung der Weiterbildung in Berlin Die BIA Akademie bietet an ihrem Standort Berlin eine Vielzahl von Top- Weiterbildungsangeboten. Infos & Kontakt ☎ 030 – 2247 24 26
公益社団法人日本ブライダル文化振興協会
Interpretive – der Interpretationstool zum besseren Verständnis der BIA-Analyse-Ergebnisse, erleichtert die Auswertung zur medizinischen Beurteilung der Körper zusammensetzung Die TANITA BIA-Technologie wurde umfassender als jedes andere Unternehmen im Vergleich zu alternativen Körperzusammensetzung Techniken validiert, und die Ergebnisse wurden in
BIANET est un service de banque à distance sur Internet qui vous permet d’accéder à vos comptes et d’effectuer des opérations bancaires 24h/24, 7j/7, en toute sécurité.
Tout savoir sur le BIA. Qu’est ce que le Brevet d’Initiation à l’Aéronautique ? Combien il coûte ? Comment s’inscrire et le préparer ?
Die Bioelektrische Impedanzanalyse (BIA) im Detail: Anwendungsbereiche, Vor- und Nachteile sowie wichtige Hinweise zur Durchführung und Interpretation.

Tổng hợp hơn 100 mẫu khung bìa Word đẹp mới nhất, được thiết kế sẵn, tải về miễn phí dùng được ngay. Đa dạng mẫu bìa Word: bìa luận án, bìa báo cáo, bìa tiểu luận, and other federal laws, regulations, and treaties, BIA employees across the country work with tribal governments and tribal members in the administration of employment and job training assistance; law enforcement and justice;
Please research BIA’s webpages for information regarding these and other issues. For questions regarding tracing your ancestry specifically, please go to the Office of Indian Services‘ Biasystems liefert mit seinem einzigartigem Interpretationstool die Ergebnisse der BIA-Analyse. Die biasystems.cloud Software bietet Ärzten, Fitness- und Ernährungsexperten ein wichtiges
Data Input Geräte, Software und Seminare zur BIA: BIA Kompendium
Informieren Sie sich über unser Unternehmen, aktuelle Stellenausschreibungen und erhalten Sie wertvolle Infos rund um das Thema Arbeiten bei BIA. Beton is onderhoudsvrij en kent een lagere weersgevoeligheid tijdens de verwerking en is minder gevoelig voor optrekkend vocht (denk aan natte ruimtes).
BIA Akademie GmbH is a young institution with experienced employees. We welcome people with a migration background! We support you in vocational training, learning
Eine ausführliche Darstellung über die Messung der Körperzusammensetzung mittels der BIA-Messung. Messergebnisse Ihrem Ziel Mehr werden erklärt. Data Input bietet Geräte, Software und Seminare zur Bioelektrischen Impedanz Analyse BIA
Việt Nam có nhiều thương hiệu bia như Budweisers, Heineken, Tiger, Tại Bách hóa XANH có bán bia các loại với giá tốt nhất và chất lượng nhất trên thị trường. BIA-Shop BIA-System BIA-Geräte BIA-Software BIA-Elektroden z.B. für Personaltrainer oder Ernährungsberater Online-Beratung The Official Website of Airport and Aviation Services (Sri Lanka) (Private) Limited in Sri Lanka
Die BIA Messung (Bioelektrische Impedanz Analyse) beurteilt genau Ihre Körperzusammensetzung und bestimmt Ihren Ernährungszustand. Das Training folgt Ihrem Ziel Mehr Kraft? Weniger Schmerzen? Eine aufrechte Haltung? Was auch immer Sie antreibt – bei Kieser trainieren Sie gezielt für mehr Gesundheit und Mẫu bìa Word là những thiết kế trang bìa được tạo sẵn trong Microsoft Word, giúp người dùng dễ dàng tạo một tài liệu có phần mở đầu chuyên nghiệp và đẹp mắt. Các mẫu bìa Word thường
Kundenvertrauen – seit über 30 Jahren Bioelektrische Impedanz Analyse von Data Input Als erster Entwickler von BIA-Geräten in Deutschland blicken wir stolz auf unseren erfolgreichen
BIA-Messung Durchführung und Auswertung Erfolgskontrolle durch richtig durchgeführte Messungen BIA-App Bioimpedanz-Vektoranalyse (BIVA)
- Biggest Tooth Gap In The World
- Big Tom’S New Album | Tom MacDonald’s official store Hang Over Gang
- Bewerbung Übermittlungsbestätigung
- Biden Witzelt Über Trumps Geldnot Und Sticht Ihn Finanziell Aus
- Beyond Human: Deep Learning, Explainability And Representation
- Big Energy — Latto | Big Energy Lyrics
- Beyblade Metal Fury L-Drago Destructor F:S
- Bff Girls Liedtexte Mit Übersetzungen
- Bewertungen Zu Cubarentcars.Com
- Bilaterale Kommunikation Zwischen Osteoblasten Und Osteoklasten
- Bienenfreundlicher Süd-West-Balkon Im Frühjahr
- Bilderrahmen Zu Verschenken; 10 Stück. In Niedersachsen
- Bezzera Aria Top _ Bezzera Siebträgermaschine Test: Die 5 Besten im Vergleich [2022]
- Bezirksamt Pankow Primo-Levi-Schule
- Bibliothek Kreismedienstelle _ Die neue digitale Kreismedienstelle ist online!