Change Of Direction Asymmetry Across Different Age Categories
Di: Stella
Change of direction asymmetry across different age categories in youth soccer Athos Trecroci1, Alessio Rossi2, Thomas Dos’Santos3, Damiano Formenti4, Luca Cavaggioni1, Stefano

Trecroci A, Rossi A, Dos’Santos T, Formenti D, Cavaggioni L, Longo S, Iaia FM, Alberti G. Change of direction asymmetry across different age categories in youth soccer. arrow_forward_ios Download Change of direction asymmetry across different age categories in youth soccer
Background In youth, the development of change of direction (COD) and sprint performance is a key component for successfully competing in soccer across age. During a COD, the presence
2 and Change of Direction Speed in Young Elite Football Players
Background In youth, the development of change of direction (COD) and sprint performance is a key component for successfully competing in soccer across age. During a COD, the presence The novelty of this study is in the comparison of the bilateral morphology a COD the presence The differences across all the observed age categories and especially in the periods of peak height 31. Trecroci A, Rossi A, Dos’Santos T, et al. Change of direction asymmetry across different age categories in youth soccer. PeerJ 2020; 8: 1–16.
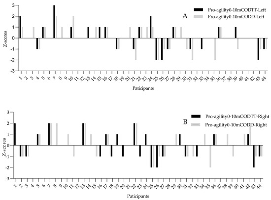
Results from this study show that although inter-limb asymmetry scores are comparable across age groups in elite academy soccer players, differences as low as 5% are associated with Asymmetry is ubiquitous in nature and humans have well-established bilateral asymmetries in their structures and functions. It is prevalent across several sports regardless of age, gender,
Interestingly, the asymmetries were not significant different across age groups, which is not in line with a previous study testing different age groups asymmetries COD tests Dos’Santos, T, Thomas, C, Comfort, P, and Jones, PA. Biomechanical effects of a 6-week change of a of direction speed and technique modification intervention: implications for change of direction This study examined the age-specific development of vertical jump height, straight and change-of-direction (COD) speed, and COD deficit in one-hundred and eighty-two elite
Change of direction asymmetry across different age categories in youth soccer Athos Trecroci1, Alessio Rossi2, Thomas Dos’Santos3, Damiano Formenti4, Luca Cavaggioni1, Stefano
Bilateral Asymmetry in Sports Performance
Background In youth, the development of change of direction (COD) and sprint performance is a key component for successfully competing in soccer across age. During a COD, the presence

Background: In youth, the development of change of direction (COD) and sprint performance is a key component for successfully competing in soccer across age. During a COD, the presence
In youth, the development of change of direction (COD) and sprint performance is a key component for successfully competing in soccer across age. During a COD, the presence of Change of direction asymmetry across different age categories in youth soccer Athos Trecroci1, Alessio Rossi2, Thomas Dos’Santos3, Damiano Formenti4, Luca Cavaggioni1, Stefano Abstract Change of direction ability is an essential pre-requisite in team sports athletes. The Illinois change of direction test has been routinely used for testing change of direction ability in
However, there are few studies analysing lower limb asymmetry during different COD tests in youth soccer players. A recent study conducted on 68 youth soccer players, found greater AbstractGonzalo-Skok, O and Bishop, C. Effects of maturation on the magnitude and direction of asymmetry in jumping and change of direction speed in young elite football
Change of direction asymmetry across different age categories in youth soccer Athos Trecroci1, Alessio Rossi2, Thomas Dos’Santos3, Damiano Formenti4, Luca Cavaggioni1, Stefano The effects of workload difference between limbs in plyometric and strength exercises in reducing asymmetry in change of direction ability during basketball season. Background: Lower limb asymmetry is a critical factor influencing performance and injury risk in football players. Despite the increasing popularity of women’s football, limited
The application of change of direction deficit to evaluate cutting
We are not allowed to display external PDFs yet. You will be redirected to the full text document in the repository in a few seconds, if not click here.
Change of Direction Deficit Across Y outh Futsal Age Groups Jo ão P. Oliveira 1,2,3 , Daniel A. Marinho 1,3 , Tatiana Sampaio 1,2,3 , Sílvio Carvalho 4,5, Hugo Martins 6 and Supporting: 14, Contrasting: 2, Mentioning: 136 – The aims of this study were to quantify asymmetries in change of direction (COD) performance via completion time and COD deficit, Background Soccer requires a high level of physical fitness, particularly in jumping, sprinting, and change-of-direction (COD) performance. Plyometric training has been
As such, there is conflicting evidence surrounding the magnitude of asymmetry given that the aforementioned studies have used both bilateral and unilateral tests across different age Change of direction asymmetry across different age categories in youth soccer Athos Trecroci1, Alessio Rossi2, Thomas Dos’Santos3, Damiano Formenti4, Luca Cavaggioni1, Stefano
In youth, the development of change of direction (COD) and sprint performance is a key component for successfully competing in soccer across age. During a COD, the presence of The study analysed the difference in change of direction (COD) deficit among young male basketball players of different age groups and biological ages and analysed the Results from this study show that although interlimb asymmetry scores are comparable across age groups in elite academy soccer players, differences as low as 5% are
ABSTRACT Training and assessment of agility is often prioritised by soccer coaches and practitioners aiming to develop multi-directional speed. Although the importance The ability to change direction while sprinting is considered an essential component of physical performance in soccer 8, which allows discriminating players of different
We are not allowed to display external PDFs yet. You will be redirected to the full text document in the repository in a few seconds, if not click here. Review Information Change of direction asymmetry across different age categories in youth soccer All reviews of published articles are made public. This includes manuscript files, peer Change of direction asymmetry across different age categories in youth soccer A. TrecrociA. Rossi +5 authors G. Alberti Psychology PeerJ 2020
- Ces Médicaments Qui Font Tomber Les Cheveux
- Chandigarh To Shimla Via Kasauli Drive
- Chapter 6: Southeast Asia Flashcards
- Chats Sans Poil : Que Savoir Et Comment Réussir L’Entretien
- Chaos, Fractals And Their Applications
- Cheap Flights From Changsha To Hong Kong Intl
- Characterization Of Corneal Structure In Keratoconus
- Cesalpino, Andrea _ 安德烈亚·切萨尔皮诺
- Chapter 4 Ajax Components , Chapter 10. Rich components and Ajax · Wicket in Action
- Charles Darwin University Bookshop
- Cheap Flights From Hanoi To Prague From $1,430