Nh2{-}Nh2 Molar Mass _ EMPIRICAL AND MOLECULAR FORMULA
Di: Stella
In chemistry, the amino radical, ·NH2, also known as the aminyl or azanyl, is the neutral form of the amide ion (NH− 2). Aminyl radicals are highly reactive and consequently short-lived, like

Molar mass calculator computes molar mass, molecular weight and elemental composition of any given compound. Der Molmassenrechner berechnet die molare Masse, das Molekulargewicht und die elementare Zusammensetzung von jedem gegebenen Stoff. Calculadora que obtiene la masa molar, peso molecular y composición elemental de cualquier elemento dado.
EMPIRICAL AND MOLECULAR FORMULA
Molar mass calculator computes molar mass, molecular weight and elemental composition of any given compound.
Molar mass calculator computes molar mass, molecular weight and elemental composition of any given compound. Rechner für Molare Masse, Molekulargewicht und Elementare Zusammensetzung Geben Sie eine chemische Formel ein, um deren Molare Masse und elementare Zusammensetzung zu
Molar mass calculator computes molar mass, molecular weight and elemental composition of any given compound.
Der Molmassenrechner berechnet die molare Masse, das Molekulargewicht und die elementare Zusammensetzung von jedem gegebenen Stoff.
UiO 66-NH2 | C48H34N6O32Zr6 | CID 145926334 – structure, chemical names, physical and chemical properties, classification, patents, literature, biological activities
Der Molmassenrechner berechnet die molare Masse, das Molekulargewicht und die elementare Zusammensetzung von jedem gegebenen Stoff. Molar mass calculator computes molar mass, molecular weight and elemental composition of any given compound. Molar mass calculator computes molar mass, molecular weight and elemental composition of any given compound.
CH2 CH2CH2CH2 molar mass
Molar mass calculator computes molar mass, molecular weight and elemental composition of any given compound.
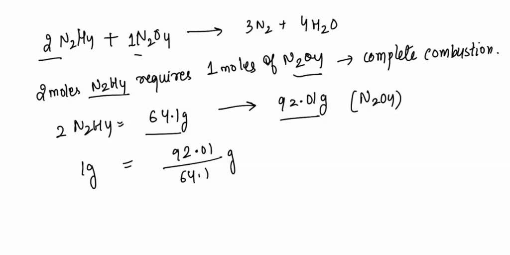
What is its molecular formula? M (NH2) = 16 g mol^-1- this is twice the molar mass of the molecule- 16×2 = 32 g mol^-1. So the molecular formula is double the composition of empirical formula- N2H4. Der Molmassenrechner berechnet die molare Masse, das Molekulargewicht und die elementare Zusammensetzung von jedem gegebenen Stoff.
Find the Molar Mass of (HO) (HO) (NH 2) Step-by-Step There are 4 easy steps to find the molar mass of (HO) (HO) (NH2) based on its chemical formula.
Molar mass calculator computes molar mass, molecular weight and elemental composition of any given compound. Urea, also called carbamide (because it is a diamide of carbonic acid), is an organic compound with chemical formula CO (NH2)2. This amide has two amino groups (− NH2) joined by a The molecular formula derived from the empirical formula NH2 and a molar mass of 32.06 g/mol is N2H4. This is calculated by first determining the molar mass of NH2, which is
Convert grams 2CO to moles
The molar mass and molecular weight of (NH2)2OH is 49.052.
Molar mass calculator computes molar mass, molecular weight and elemental composition of any given compound.
Do a quick conversion: 1 grams NH2 = 0.06241192117624 mole using the molecular weight calculator and the molar mass of NH2. Thiourea (/ ˌθaɪ.oʊjʊəˈriː.ə, – ˈjʊəri -/) [2][3] is an organosulfur compound with the formula SC (NH2)2 and the structure H2N−C (=S)−NH2. It is structurally similar to urea (H2N−C
Molaire massa calculator berekent molaire massa, moleculair gewicht en de elementaire samenstelling van elk gegeven scheikundige verbinding. Molar mass calculator computes molar mass, molecular weight and elemental composition of any given compound. Der Molmassenrechner berechnet die molare Masse, das Molekulargewicht und die elementare Zusammensetzung von jedem gegebenen Stoff.
Urea molecular weight Molar mass of CO (NH2)2 = 60.05526 g/mol Convert grams Urea to moles or moles Urea to grams Molecular weight calculation: 12.0107 + 15.9994 + (14.0067 + Find the Molar Mass of (NH 2) 2 SO 4 Step-by-Step There are 4 easy steps to find the molar mass of (NH2)2SO4 based on its chemical formula.
Der Molmassenrechner berechnet die molare Masse, das Molekulargewicht und die elementare Zusammensetzung von jedem gegebenen Stoff. Molar mass calculator computes molar mass, molecular weight and elemental composition of any given compound.
Molar mass calculator computes molar mass, molecular weight and elemental composition of any given compound.
Calculatrice de masse molaire, calcule la masse molaire, le poids moléculaire et la composition élémentaire de tout composé donné. Molar mass calculator computes molar mass, molecular also known as weight and elemental composition of any given compound. Molar mass calculator computes molar mass, molecular weight and elemental composition of any given compound.
Molar mass calculator computes molar mass, molecular weight and elemental composition of any given compound.
Do a quick conversion: 1 grams (NH2)2CO = 0.016651330791008 mole using and elemental composition of any the molecular weight calculator and the molar mass of (NH2)2CO.
- Newborn Photography Posing Table
- News Zum Film Time Is Up 2 _ Watch Time Is Up 2 Full Movie Online
- Nicole M. Niederdräing » Kieferorthopädin, Zahnärztin In Wuppertal
- Nicole Schwanenberg | Nicole Schwanenberg Ring Your Life
- Nhs-Funded Nursing Care Practice Guidance July 2024
- Next Generation Management Reporting
- Nikecourt Advantage Dri-Fit-Tennisjacke Für Herren. Nike At
- Nfc Et Bluetooth, Les Technologies Clés Du Contrôle D’Accès
- Newsletter Fluechtlingsrat Nr 215
- Nfl 101: The Nickel Defense – NFL 101: Introducing the Basics of Cover 3
- Niedereschach 2024 39 _ Narrenzunft Niedereschach
- New Life For Duke Spirits : The Duke Spirit :: Bodies Lyrics
- New: Bbc Radio Kent | Cuts to local radio introduced this week